来源:医博士 | 2021-01-15
TriClip系统作为瓣叶边缘对合技术的代表,器械的原理是通过夹闭瓣叶进而降低功能性反流程度。该夹合器最早设计用于经导管治疗二尖瓣反流,由于该器械的可获取性和操作人员的对器械熟悉,已成为功能性三尖瓣反流高危患者的首选方法。为了评估TriClip系统治疗三尖瓣反流的安全性和有效性,德国波恩大学医院心脏中心Nickenig等开展了一项TRILUMINATE研究,结果于近期发表在Lancet杂志上。
该研究在欧洲和美国的21个医疗中心进行。85例中度或重度三尖瓣返流、纽约心脏协会II级或更高级别的患者参与,其中56例(66%)为女性,年龄(77.8±7.9)岁。三尖瓣返流轻度0例、中度5例、重度24例、极重度24例、难以治愈31例。患者均接受TriClip三尖瓣修复系统治疗。主要疗效终点为术后30天的三尖瓣返流严重程度至少降低一级。
研究者结果显示,治疗30d时三尖瓣返流轻度3例、中度23例、重度21例、极重度24例、难以治愈8例。治疗60d时三尖瓣返流轻度1例、中度19例、重度0例、极重度24例、难以治愈5例(见下图)。

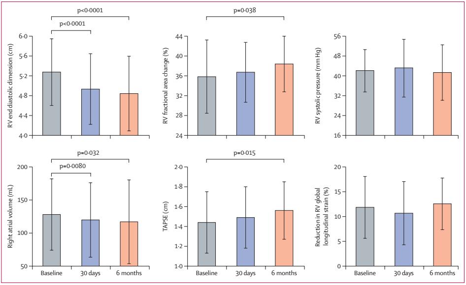
治疗后右室舒张末期直径(RV end diastolic dimension)、右室部分面积变化率(RV fractional area change)、右心房容积(Right atrial volume)、三尖瓣环平面收缩偏移(TAPSE)均明显改善,而右室收缩压力(RV systolic pressure)、右室球部纵向应变减少(Reduction in RV globaongitudinal strain)未见明显改善,见下图。

治疗后NYHA分级明显改善,见下图。

治疗后生活质量明显改善,见下图。

6个月时,84名患者中有3名(4%)出现严重不良事件,达到预先设定的安全性终点。72例患者中5例(7%)出现粘连。未发生围手术期死亡、转手术、器械栓塞、心肌梗死或中风。6个月时,84例患者中有4例(5%)死亡,详细见下图。

综上所述,TricIP系统对降低三尖瓣反流严重程度是安全、有效的。术后6个月,患者可获得显著的临床改善。
医博士编译自:Nickenig G, Weber M, Lurz P, et al. Transcatheter edge-to-edge repair for reduction of tricuspid regurgitation: 6-month outcomes of the TRILUMINATE single-arm study. Lancet. 2019; 394(10213):2002-2011.
声明: 所有注明“来源:医博士”的文字、图片和音视频资料,版权均属于医博士所有,转载须注明“来源:医博士”;所有转载文章系出于传递更多信息之目的,且明确注明来源和作者,不希望被转载的媒体或个人可与我们联系,我们将立即进行删除处理。