来源:医博士 | 2021-03-02
牙周炎主要是由局部因素引起的牙周支持组织的慢性炎症。发病年龄以35岁以后较为多见。如龈炎未能及时治疗,炎症可由牙龈向深层扩散到牙周膜、牙槽骨和牙骨质而发展为牙周炎。牙周疾病的传统治疗方式是分象限刮治(QSRP),也称为非手术牙周治疗。标准的治疗方法是每4周1次,每次1至2个象限。全口刮治(FMS)和全口抗感染治疗(FMD)近年来逐渐用于临床,FMS指在24h内完成全口SRP,防止余留的未经治疗牙周袋再次感染已治疗的牙周位点。
为比较阿奇霉素联合FMS或QSRP治疗广泛性Ⅲ、Ⅳ期牙周炎的效果,巴西米纳斯吉拉斯天主教大学Oliveira博士等开展了一项为期6个月的临床随机对照研究,结果于近期发表在Brazilian Dental Journal杂志上。
该研究的排除标准:(1)可影响牙周状况的全身性疾病或其他情况;(2)阿奇霉素过敏;(3)使用正畸装置、假体或义齿;(4)哺乳期或妊娠期妇女;(5)需要抗生素预防;(6)研究前6个月内使用抗生素和/或抗炎药物;(7)定期使用抗牙龈炎药物;(8)在研究的6个月内进行牙周治疗;(8)依从性差。研究者将34例广泛性Ⅲ、Ⅳ期牙周炎患者随机接受阿奇霉素联合FMS或QSRP治疗,治疗6个月期间无脱落(图1)。FMS组年龄(47.7±8.2)岁,男10例,女7例;QSRP组年龄(45.2±8.1)岁,男9例,女8例。

图1 实验流程
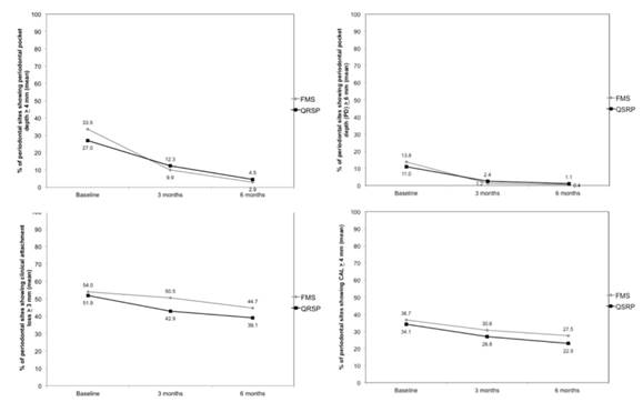
基线时,两组临床参数[牙周探诊深度(PD)、临床附着水平(CAL)、牙龈指数(GI)、牙周指数(PI)]的比较无统计学差异,治疗后明显改善,说明这两种方案均有效(表1)。然而两种方案的组间比较无统计学意义(图2)。

表1 治疗后两组临床参数的变化

图2治疗后两组临床参数的变化趋势
在细菌检测方面,研究者发现FMS组治疗6个月内,菌群总数和红色复合细菌数量均下降。QSRP组的变化也类似,但是FMS组总细菌载量和红色复合细菌数量下降更明显。FMS组细菌总载量下降4788240.04±8967457.81,红色复合细菌下降165107.73±410449.29,QSRP分别下降142143.96±212333.65和147443.71±544738.81(表2)。

表2 治疗后两组总细菌载量和红色复合细菌数量的组内和组间比较
研究者最后得出结论,FMS和QSRP联合阿奇霉素治疗广泛性Ⅲ、Ⅳ期牙周炎的效果相当,但是与QSRP相比,FMS在6个月内的抗菌效果较好。
医博士编译自:Oliveira AMSD, Costa FO & Nogueira LMR. Azithromycin and Full-Mouth Scaling For the Treatment of Generalized Stage III and IV Periodontitis: A 6-Month Randomized Comparative Clinical Trial. Brazilian Dental Journal. 2019; 30(5):429-436.
声明: 所有注明“来源:医博士”的文字、图片和音视频资料,版权均属于医博士所有,转载须注明“来源:医博士”;所有转载文章系出于传递更多信息之目的,且明确注明来源和作者,不希望被转载的媒体或个人可与我们联系,我们将立即进行删除处理。