来源:医博士 | 2021-12-02 作者:刘雅丽
短暂性意识丧失(TLOC)是一种意识丧失状态,包括意识丧失、无意识时期的健忘症、运动控制异常、反应能力丧失,其持续时间短。TLOC可分为头部外伤引起的TLOC和非外伤性TLOC,包括癫痫发作、心因性原因和罕见原因(例如锁骨下盗血综合征、蛛网膜下腔出血)以及晕厥。晕厥被定义为由于脑灌注不足引起的自限性TLOC。晕厥具有较高的终生患病率,对生活质量产生有害影响。由于与其他疾病有许多共同的临床特征,寻找并有效治疗晕厥或TLOC的根本病因具有挑战性。目前欧洲心脏病学会(ESC)关于晕厥的指南提出了一个彻底的鉴别诊断和病因解释。然而,代谢紊乱只被认为是导致持续性而非自我限制性意识丧失。
本文报告一位42岁女性病人,有反复发作的TLOC。尽管进行了广泛的检查,仍无法确定病因。最终,反应性高胰岛素血症被发现导致真正的TLOC。
病例介绍
42岁的女性患者因近几周频繁的TLOC导致生活质量大幅下降,并可能发生有害事件,因此住院接受进一步评估。TLOC在11个月前开始出现,当时患者因前庭神经受累的耳带状疱疹住院治疗。十个月前,患者经历三次有症状的高血压突发事件,伴有头痛和视力受损。患者每日服用2.5毫克比索洛尔,然而其依从性较差,因为报告有明显的疲劳作为副作用。患者报告反复TLOC,特别是在轻运动如散步期间。在某些情况下,TLOC之前出现头晕、出汗等不适;其他时候晕厥突然发生,导致跌倒,包括严重的伤害,不伴呼吸困难或心绞痛样症状。
在就诊期间,我们证实了其TLOC的真实性。患者及配偶无子女,有长期的心理社会负担。幸运的是,13个月前他们收养了一个孩子,这一点得到解决。
体检未见异常,身高174cm,体重64公斤,体重指数(BMI)21.1kg/m2。四肢心率正常,可对称触诊(每分钟67次),血压130/75mmHg,无心脏杂音,肺听诊正常,无周围水肿。腹部检查无肿块,无压痛。建议的基础评估,包括病史、体格检查、心电图(ECG)、血压测量和立位测试,未见明显异常结果。
进一步评估TLOC的潜在心脏原因,心脏负荷试验显示身体正常,无心律失常,血压和心率反应正常,无相关ST段改变。24小时动态心电图未发现病理改变。为了解释罕见的晕厥原因,通过进行阿杰马林试验排除了Brugada综合征。超声心动图显示射血分数正常,无瓣膜功能障碍或其他结构性疾病。心脏磁共振成像(MRI)未发现致心律失常性的右室心肌病。尿儿茶酚胺及其代谢物水平正常。
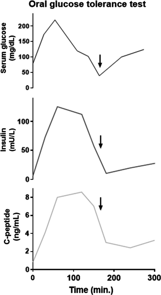
根据反复的病史,考虑到先前的情况和潜在的触发因素,我们发现其症状与摄入富含碳水化合物的食物有关。患者报告TLOC在富含碳水化合物的膳食后大约1-2小时出现。其已经凭直觉改变了饮食习惯,不吃富含碳水化合物的食物。为了评估与膳食的关系,我们进行了口服葡萄糖耐量试验。摄入75克葡萄糖180分钟后,血糖水平降至39毫克/分升(见图1),其先兆症状与患者先前TLOC相同,伴有头晕和意识迅速消退。为了防止完全失去意识,静脉注射葡萄糖。综上所述,激发试验和详细的病史证明了低血糖的病因。我们确定了病理性糖耐量和高胰岛素导致低血糖和TLOC的诊断。

磁共振成像显示胰腺正常
进行72小时的空腹血糖测试,排除了胰岛素瘤。胰岛素样生长因子1(IGF-1)水平正常。皮质醇在整天的连续测试中显示正常水平。没有肾上腺功能不全的迹象,陈建皮质醇为16.2µ克/分升,数值正常。未检测到胰岛素抗体。非胰岛素瘤性胰源性低血糖综合征(NIPHS)是一种非常罕见的引起餐后低血糖的疾病。测试包括通过有创性钙给药刺激胰腺β细胞,考虑到生活方式和饮食改变后症状的缓解,我们没有进行进一步的侵入性试验来区分糖尿病前期和NIPHS。我们主要建议饮食改变,包括频繁的小餐减少低血糖发作的频率和避免进食富含碳水化合物的膳食。我们停止了β细胞阻断剂治疗,以避免干扰糖原分解。如果症状持续存在,建议使用二甲双胍治疗其病理性葡萄糖抵抗,或使用阿卡波糖进行治疗试验,以延迟摄入的复合碳水化合物水解,并降低餐后血糖和胰岛素峰值。在3个月后的随访中,患者报告在建议的饮食改变后没有进一步发生TLOC,生活质量显著改善。
小结
在没有明显糖尿病的情况下,低血糖发作可能是一种罕见的晕厥鉴别诊断。低血糖通常会导致长时间的意识丧失。据我们所知,这是第一例描述短暂的自限性低血糖作为TLOC病因。这个病例强调了对有晕厥或TLOC表现的病人进行全面病史记录和代谢检查的重要性。
医博士编译自:Wester M,Bergmann T,Müller-Schilling M, et al. Transient hypoglycemia as a rare cause of recurring transient loss of consciousness: a case report. Journal of Medical Case Reports. 2021; 15(1):261. doi: 10.1186/s13256-021-02844-z.
声明: 所有注明“来源:医博士”的文字、图片和音视频资料,版权均属于医博士所有,转载须注明“来源:医博士”;所有转载文章系出于传递更多信息之目的,且明确注明来源和作者,不希望被转载的媒体或个人可与我们联系,我们将立即进行删除处理。