来源:医博士 | 2022-03-02 作者:李胜佳
晚期非小细胞肺癌(NSCLC)预后较差,5年总生存率(OS)约为5%。靶向治疗有助于提高具有可操作驱动基因突变患者的生存率,但对驱动基因阴性的患者没有影响。随着免疫检查点抑制剂(ICIs)的应用,晚期EGFR和ALK野生型NSCLC的5年OS率有了显著提高。
寡转移病定义为介于局部晚期和广泛播散性疾病之间的中间阶段,NSCLC患者脑寡转移的发生率约为4.0%,多模式治疗对于寡转移性肺癌患者至关重要。作为一种根治性治疗,手术切除是最成熟的局部巩固治疗方法,以往的研究表明,在各种多模式治疗中,手术治疗对寡转移性肺癌的5年生存率有显著改善。
ICI和化疗的联合应用可显著提高缓解率和生存率,使寡转移性肺癌患者有资格接受局部治疗。TP53和KRAS的突变在NSCLC患者中很常见,之前进行的研究表明TP53和KRAS共突变的存在也与对检查点抑制剂的反应有关。
本文报告一例TP53和KRAS共突变的脑寡转移性肺癌患者,经全身免疫化疗和局部手术切除后获得完全缓解。众所周知,这是首例脑寡转移性NSCLC患者在免疫化疗加局部手术切除后获得完全缓解的病例。
病例介绍
一名有40年吸烟史的62岁男性因有1个月的血痰病史而住院。增强型计算机断层扫描(CT)显示右上叶有肿块伴胸膜侵犯,大小为3.5cm×3.3cm(图1A)。增强磁共振成像(MRI)显示大脑中有5个转移灶(右颞叶6.2毫米,右额叶6.4毫米,左海马5.7毫米,左顶叶9.5毫米和左颞叶17.9毫米),无水肿(图1B)。患者没有任何神经系统症状。对肺部肿块进行了CT引导的经皮活检。病理检查显示右肺病变为浸润性肺腺癌。该患者被诊断为寡转移性IVB期肺腺癌(T2aN0M1c,IVB,AJCC8th)。进一步对68个癌症相关基因进行了下一代测序,其中检测到KRAS(p.Gly13Asp,8.12%)和TP53(p.Thr125Pro,7.35%)突变。此外,免疫组织化学检测显示PD-L1表达为阴性。


图1. 放射影像和血清CEA的变化。(A) 胸部增强 CT;(B) 脑部增强 MRI;(C)血清CEA的动态改变。红色矩形表示患者的脑转移
征得患者同意后,患者每21天接受培美曲塞(500mg/m2,d1)、奈达铂(75mg/m2,d1)和派姆单抗(100mg/m2,d1)四个周期的治疗。经过四个周期的全身免疫化疗后,脑部MRI显示3个转移性肿瘤已完全消失,其余2个转移灶具有显著的部分缓解(PR)(图1B)。胸部CT显示右上叶病变缩小约25.7%,但尚未达到实体瘤反应评估标准(RECIST)的PR(图1A)。治疗期间唯一的副作用是疲劳和肠胃不适。血清癌胚抗原(CEA)水平显著下降至正常范围(图1C)。经过多学科讨论并获得患者同意后,接下来进行了视频辅助右上肺叶切除加区域淋巴结清扫术。病理结果显示病理缓解率为60%,所有淋巴结均为阴性。如图2A所示,免疫化疗后的手术标本中可见广泛的纤维化和淋巴细胞浸润。该患者在手术后又接受了两个周期的铂类免疫化疗,然后是培美曲塞和派姆单抗的维持治疗。七个周期的维持治疗后,MRI显示未检测到脑内任何转移灶(图1B)。因此,患者在全身免疫化疗加局部手术切除后疾病完全缓解,22个月后无复发迹象。


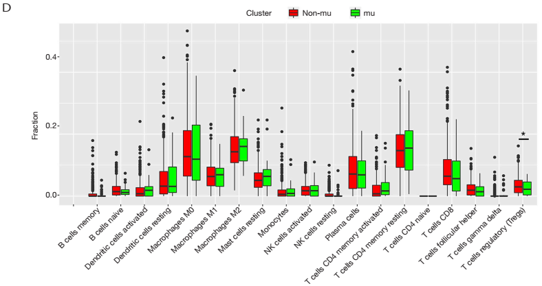
图2. 综合病理和免疫学评估。(A)HE染色。免疫化疗后手术标本可见纤维化和淋巴细胞浸润;(B)免疫化疗前后CD163、CD8、PD-L1、CD57、CD68和PD-1的多重免疫组织化学染色。(C)染色数据的定量分析。(D)使用TCGA数据库和CIBERSORT绘制TP53和KRAS共突变以及非TP53和KRAS突变与不同免疫细胞浸润水平相关性的箱线图
结论
本病案介绍了一名脑寡转移性NSCLC患者,在全身免疫化疗和局部手术切除后完全缓解。这是针对某些寡转移的非小细胞肺癌患者的一种新的治疗方式,可能会取得更好的疗效和生存率。然而,由于临床诊断的复杂性和个体差异,这种多模式治疗方案是否适用于所有寡转移NSCLC患者尚不确定。因此,对该人群进行进一步调查是值得的,特别是对于某些基因突变的患者。
医博士编译自:Zhu S, Zhao S, Zhang Q, et al. Complete disease remission in a TP53 and KRAS co-mutated brain oligometastatic lung cancer patient after immuno-chemotherapy and surgical resection: a case report. Translational Lung Cancer Research. 2021; 10(5):2298-2305.
声明: 所有注明“来源:医博士”的文字、图片和音视频资料,版权均属于医博士所有,转载须注明“来源:医博士”;所有转载文章系出于传递更多信息之目的,且明确注明来源和作者,不希望被转载的媒体或个人可与我们联系,我们将立即进行删除处理。